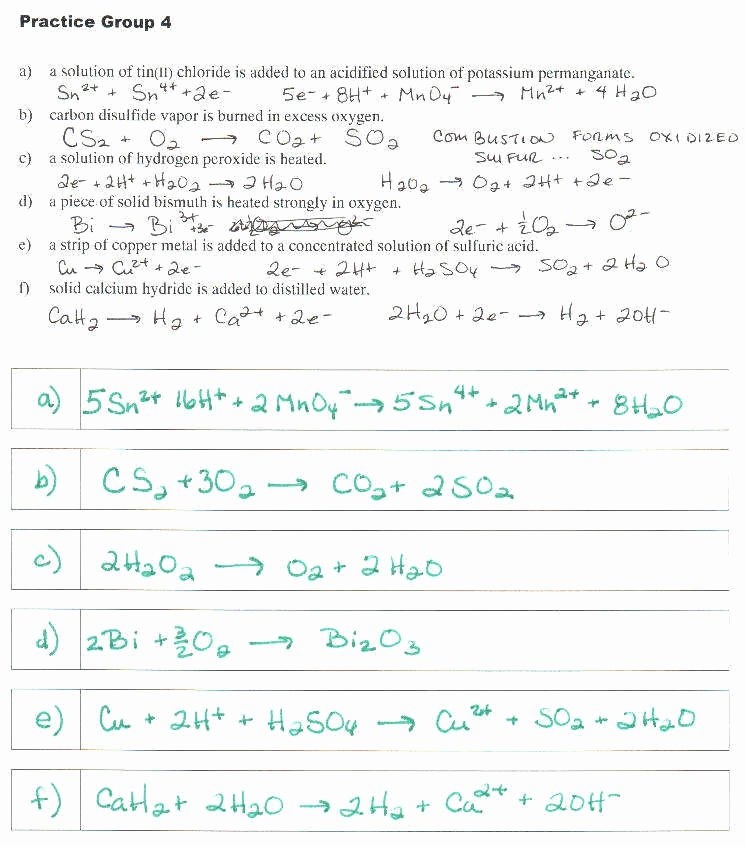
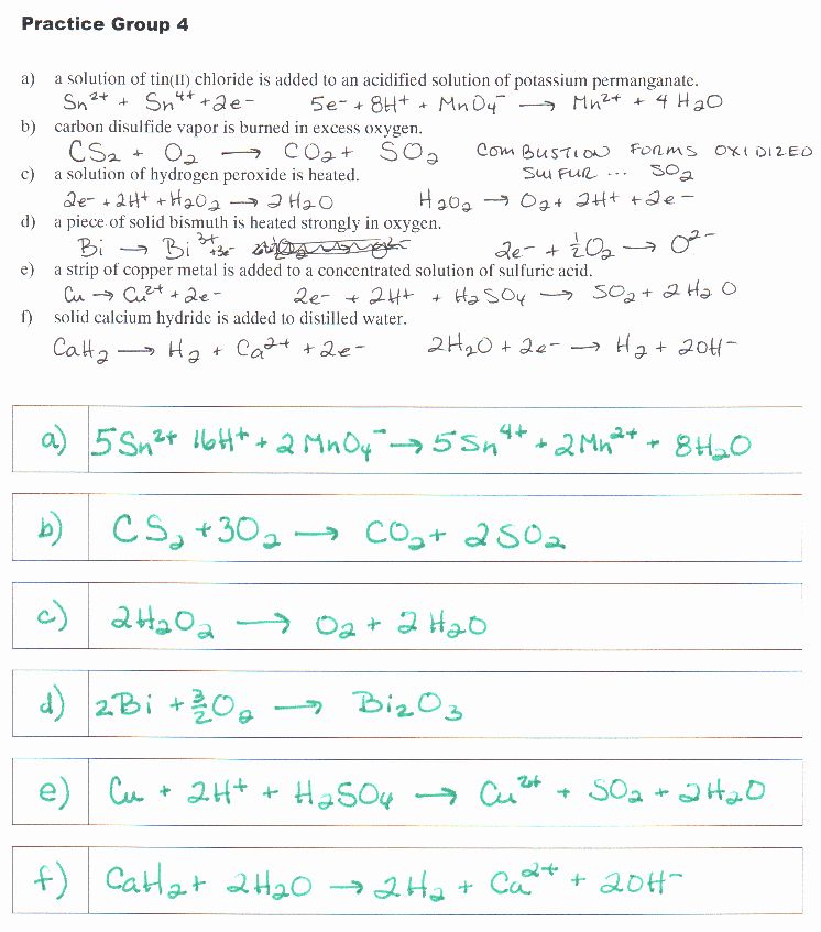
Double replacement reactions are chemical reactions that involve the exchange of ions between two compounds. These reactions typically occur in aqueous solutions and result in the formation of two new compounds. In order to understand and practice double replacement reactions, students often use worksheets to help them grasp the concepts and practice their skills.
A double replacement reaction worksheet typically consists of a series of chemical equations involving two reactants and the products that are formed. Students are required to identify the reactants, predict the products, balance the chemical equation, and determine the type of reaction that takes place. These worksheets help students develop their understanding of double replacement reactions and improve their ability to predict the outcomes of chemical reactions.
One common type of double replacement reaction is the formation of a precipitate, which is an insoluble solid that forms when two aqueous solutions are mixed. In these reactions, the positive ions in one compound switch places with the positive ions in the other compound, resulting in the formation of a solid product. Students can practice predicting the formation of precipitates by completing worksheets that involve double replacement reactions.
Another important aspect of double replacement reactions is the formation of acids and bases. When an acid reacts with a base, a neutralization reaction occurs, resulting in the formation of water and a salt. Students can practice predicting the products of neutralization reactions by completing worksheets that involve double replacement reactions between acids and bases.
Overall, double replacement reaction worksheets are valuable tools for students to practice and improve their understanding of chemical reactions. By completing these worksheets, students can develop their skills in predicting products, balancing equations, and identifying the types of reactions that take place. These worksheets provide students with the opportunity to apply their knowledge of double replacement reactions in a structured and organized manner, helping them to build a solid foundation in chemistry.
In conclusion, double replacement reaction worksheets are essential for students to practice and master the concepts of chemical reactions. By completing these worksheets, students can enhance their understanding of double replacement reactions and strengthen their problem-solving skills. Through practice and repetition, students can improve their ability to predict the outcomes of chemical reactions and develop a deeper understanding of the principles of chemistry.



